Welcome to the Exergoecology Portal
You are here: Home / Exergoecology / formula_ph.jpg

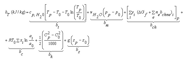
formula_ph.jpg

formula_ph.jpg
Full-size image: 38 KB | View image View Download image Download
EXERGY MANIFESTO
SUPPORTED BY
WHAT'S NEW?

TaesLab: New version!

New version of TaesLab available! Free download here.

TaesLab is a software tool designed for the thermoeconomic analysis of energy systems.

TaesLogo

RELEVANT BOOKS

The Material Limits of Energy Transition: Thanatia

Antonio Valero Capilla, Alicia Valero Delgado and Guiomar Calvo

This book provides a holistic view of raw mineral depletion in the context of renewable energy transistion.

The material limits Thanatia

BUY NOW

Thanatia. Los límites minerales del planeta

mites minerales del planeta

Antonio Valero Capilla and Alicia Valero Delgado interviewed by Adrián Almazán

We need a material transition, not only energetic, that restores nature and effectively reuses materials. Gaia must be cared for by extending life on Earth and slowing its degradation towards Thanatia.

Thanatia los limites

BUY NOW

Thermodynamics for Sustainable Management of Natural Resources

Cover Thermodynamics

Wojciech Stanek (Editor)

This book examines ways of assessing the rational management of nonrenewable resources. Integrating numerous methods, it systematically exposes the strengths of exergy analysis in resources management.

Thanatia: The Destiny of the Earth's Mineral Resources

Cover Thanatia

A Thermodynamic Cradle-to-Cradle Assessment by (author): Antonio Valero Capilla and Alicia Valero Delgado

Is Gaia becoming Thanatia, a resource exhausted planet? For how long can our high-tech society be sustained in the light of declining mineral ore grades, heavy dependence on un-recycled critical metals and accelerated material dispersion? These are all root causes of future disruptions that need to be addressed today.